Lắc Bầu Cua: Ông bà ta nghìn xưa đã biết tính xác suấtApr 12, 2026Fun Maths & Statistics400Read article
Chuỗi Markov & Mô hình Markov ẩn: Khái niệm & Ứng dụngApr 8, 2026Fun Maths & Statistics100Read article
Tích phân Gauss, Phân phối Gauss & Định lý Giới hạn Trung tâmApr 8, 2026Fun Maths & Statistics810Read article
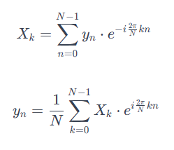
Phân tích Fourier: Từ lý thuyết chuỗi đến ứng dụng trong xử lý tín hiệu sốApr 5, 2026Fun Maths & Statistics500Read article
General Number Field Sieve (GNFS): Họ đã phá RSA thế nào?Mar 29, 2026Cryptography & Blockchain2000Read article