
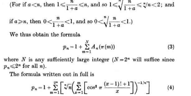
This section is dedicated to making Mathematics and Statistics fun, intuitive, and engaging. From core concepts and interesting puzzles to practical applications and clever tricks — everything is explained in an approachable way so you can learn while enjoying the process
15 articles









